Цитата:
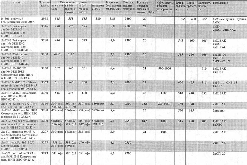
Осенью 1942 года самолеты ЛаГГ-3 выпускались только на единственном заводе в Тбилиси. ГКО СССР снова потребовал от конструкторов улучшить летные характеристики самолета. Следовало увеличить скорость, уменьшить массу, улучшить маневренность и сократить разбег и пробег. Завод № 31 обязался облегчить самолет сначала до 2850 кг, а в середине ноября появилось новое решение облегчить машину еще на 100 кг. Главный конструктор завода Горбунов приложил массу усилий, чтобы выполнить взятые на себя обязательства. Нарком авиационной промышленности вскоре докладывал Сталину о том, что массу истребителя удалось уменьшить на 120 кг. Это в сочетании с облагороженной аэродинамикой позволило увеличить скорость самолета на 30 км/ ч. Тем временем Горбунов продолжал дальше облегчать ЛаГГ. План предусматривал, что с 25)октября завод № 31 будет выпускать самолет массой 2850 кг вместо прежних 3160 кг. Полностью исправить аэродинамику самолета могло внедрение полностью убиравшегося в полете хвостового колеса. На прототипе И-301 такое колесо уже имелось, но на серийных самолетах ставили колесо, заклиненное в выпущенном состоянии, поскольку сложный механизм уборки колеса не отличался надежностью. Теперь колесо снова делали убирающимся, но механизм уборки теперь был совершенно иным. Колесную нишу снабдили выпуклыми крышками, полностью закрывавшими колесо в убранном состоянии. Все самолеты, начиная с 35-й производственной серии, оснащались убирающимся хвостовым колесом.
Облегчение конструкции ЛаГГа-3 позволило ему набирать высоту 5000 м за 5,8 мин вместо прежних 6,4. Полный разворот на высоте 1500 м самолет теперь производил за 20 секунд вместо прежних 21 секунды. Разбег сократился с 370 до 280 м. Выпуклое остекление фонаря заменили плоским, что улучшило обзор вперед. Маслосистема стала меньше терять масло и уже не пачкала фонарь. На самолет установили прицел с красной подсветкой, что повысило точность прицеливания. Но всех требований, определенных в указе НКАП, выполнить не удалось. В начале 1943 года главной целью завода № 31 было сократить массу серийного самолета до 2950 кг, подняв при этом максимальную скорость у земли до 526 км/ч, а на оперативной высоте до 590 км/ч. Облегченный самолет пустили в серию без статичных и летных испытаний. Его массу уменьшили, уменьшив толщину некоторых деталей, используя облегчающие отверстия, а также уменьшив запас прочности фюзеляжа.
|
https://airpages.ru/ru/la3_3.shtml
----------------------------------------
Переработал фм для Лаг-3.
Более-мение отрегулировал управление.
Есть небольшие костыли для играбельности -
Су на 22 градусах атаки - 1.24/1.32/1.34(М-106 и поздние)
в зависимости от отсутствия/наличия предкрилков.
Поляра аналогична Ла-5.
Почему?
Оригинальной продувки у меня нет в наличии.
По сути это один и тот же планер, который отличался
моторамой и мотором соответственно.
В фм так же прописаны оригинальные площади рулевых поверхностей.
Например - фм для Лаг-3-4 серии.
Код:
[Aircraft]
Type 1
Crew 1
Wingspan 9.8
Length 8.81
Seaplane 0
Canard 0
Jet 0
JetHiV 0
[Mass]
Empty 2766.0
TakeOff 3346.0
Oil 45.0
Fuel 340.0
[Controls]
CAileron 1
CAileronTrim 1
CElevator 1
CElevatorTrim 1
CRudder 1
CRudderTrim 1
CFlap 1
CFlapPos 3
CDiveBrake 0
CInterceptor 0
CEngine 1
CVectoredThrust 0
CUndercarriage 1
CLockTailwheel 1
CStabilizer 1
CArrestorHook 0
CWingFold 0
OnlineCockpitDoor 0
CCockpitDoor 1
CockpitDoorPeriod 2.0
CAileronThreshold 460.0
CRudderThreshold 500.0
CElevatorThreshold 420.0
DefaultAileronTrim -0.0125
DefaultElevatorTrim -0.00
DefaultRudderTrim -0.0615
[Squares]
Wing 17.51
Aileron 1.464
Flap 2.64
Stabilizer 1.61
Elevator 1.37
Keel 0.814
Rudder 0.92
Wing_In 2.48
Wing_Mid 3.275
Wing_Out 3.0
AirbrakeCxS 0.0
[Arm]
Aileron 3.84
Flap 1.70
Stabilizer 5.10
Keel 5.40
Elevator 5.48
Rudder 5.72
Wing_In 1.0
Wing_Mid 2.28
Wing_Out 3.98
Wing_V 5.0
GCenter 0.10
GCenterZ 0.00
GC_AOA_Shift 0.40
GC_Flaps_Shift 0.15
GC_Gear_Shift 0.10
[Toughness]
AroneL 50
AroneR 50
CF 300
Engine1 50
Engine2 50
Engine3 50
Engine4 50
GearL2 200
GearR2 200
Keel1 50
Keel2 50
Nose 50
Oil 20
Rudder1 50
Rudder2 50
StabL 50
StabR 50
Tail1 80
Tail2 80
Turret1B 50
Turret2B 50
Turret3B 50
Turret4B 50
Turret5B 50
Turret6B 50
VatorL 50
VatorR 50
WingLIn 100
WingLMid 80
WingLOut 80
WingRIn 100
WingRMid 80
WingROut 80
Flap01 50
Flap02 50
Flap03 50
Flap04 50
[Engine]
Engine0Family M-105-107A(FIXED):LAGG
Engine0SubModel M-105PA/LaGG-3series-4
[Gear]
H 1.827538
Pitch 13.241
SinkFactor 1000.0
SpringsStiffness 0.6
TailStiffness 0.3
[Params]
CriticalAOA 18.00
CriticalCy 01.23
CxCurvature 00.34
CxStraightness 00.04
CriticalAOAFlap 15.50
CriticalCyFlap 02.07
SpinTailAlpha 17.00
SpinCxLoss 0.05
SpinCyLoss 0.02
Vyfac 0.92
Tfac 1.02
Vmin 170.0
Vmax 470.0
VmaxAllowed 690.0
VmaxH 560.0
HofVmax 5000.0
VminFLAPS 140.0
VmaxFLAPS 235.0
Vz_climb 15.0
V_climb 270.0
T_turn 23.0
V_turn 340.0
K_max 12.0
Cy0_max 0.15
FlapsMult 1.0
FlapsAngSh 3.0
ReferenceWeight -22.0
G_class_coeff 19.0
G_class 9.0
Range 870.0
CruiseSpeed 390.0
SensYaw 0.39
SensPitch 0.67
SensRoll 0.34
[Polares]
lineCyCoeff 0.08125 // 0.65:8=0.08125
AOAMinCx_Shift 0.396
Cy0_0 0.15 // 0.085 +1* установки крила
AOACritH_0 17.0
AOACritL_0 -17.0
CyCritH_0 1.24
CyCritL_0 -0.835
CxMin_0 0.0220
parabCxCoeff_0 4.3E-4 // Расчитать не могу - аналог ФВ-190
Cy0_1 0.96
AOACritH_1 14.0
AOACritL_1 -22.0
CyCritH_1 1.92
CyCritL_1 -0.72
CxMin_1 0.096 // 0.074 + Сх планера без крыла
parabCxCoeff_1 5.9E-4 // Расчитать не могу - аналог ФВ-190
parabAngle 5.0
Decline 0.010
maxDistAng 40.0
draw_graphs 0
mc3 -17.551,-9.8474,-2.4053,19.44,-11.492,-2.7464,1.6612,3.9875
mc4 37.807,28.078,69.235,26.054,89.944,41.96,21.532,14.707
mm 0.678,0.738,0.772,0.771,0.748,0.694,0.641,0.584
mz 0.281,0.26,0.127,0.086,0.129,0.147,0.151,0.115
[SOUND]
Engine Std
В моторах нет 110 проц. буста, а просто форсаж/взлётный режим.
Самолёт медленный и задумчивый, охотно скользит на крыло при дачи ноги.
На взлёте площади руля направления не хватает, увы.
Замечания принимаются - могут быть очепятки.
-----------------------------
Глаза почти не видят после двухдневной правки цифр.

Очепятки поправлю позже.

-------------------------------------------
Приятных полётов!