http://www.airwar.ru/weapon/guns/class_c.html
http://www.airwar.ru/enc/fww1/fury.html
http://www.airwar.ru/image/idop/fww1/fury/fury-6.gif
ФМ
настроена 28-09-2021.
Код:
[Aircraft]
Type 1
Crew 1
Wingspan 9.14
Length 8.13
Seaplane 0
Canard 0
Jet 0
JetHiV 0
[Mass]
Empty 1240.0
TakeOff 1637.0
Oil 30.0
Fuel 170.0
[Controls]
CAileron 1
CAileronTrim 1
CElevator 1
CElevatorTrim 1
CRudder 1
CRudderTrim 1
CFlap 0
CFlapPos 1
CDiveBrake 0
CInterceptor 0
CEngine 1
CVectoredThrust 0
CUndercarriage 0
CLockTailwheel 0
CStabilizer 0
CArrestorHook 0
CWingFold 0
CCockpitDoor 0
DefaultAileronTrim -0.010
DefaultElevatorTrim 0.0333
DefaultRudderTrim -0.080
[Squares]
Wing 23.41
Aileron 1.04
Flap 0.01
Stabilizer 1.84
Elevator 1.25
Keel 0.82
Rudder 1.21
Wing_In 5.7
Wing_Mid 2.6
Wing_Out 3.405
AirbrakeCxS 0.0
[Arm]
Aileron 3.13
Flap 1.0
Stabilizer 3.31
Keel 3.11
Elevator 3.82
Rudder 3.72
Wing_In 2.10
Wing_Mid 1.7
Wing_Out 2.7
Wing_V 0.0
GCenter 0.08
GCenterZ 0.00
GC_AOA_Shift 0.45
GC_Flaps_Shift 0.0
// GC_Gear_Shift -0.15
[Toughness]
AroneL 50
AroneR 50
CF 150
Engine1 30
Engine2 30
Engine3 30
Engine4 30
GearL2 200
GearR2 200
Keel1 30
Keel2 50
Nose 100
Oil 50
Rudder1 50
Rudder2 50
StabL 50
StabR 50
Tail1 150
Tail2 150
Turret1B 30
Turret2B 30
Turret3B 30
Turret4B 30
Turret5B 30
Turret6B 30
VatorL 50
VatorR 50
WingLIn 100
WingLMid 90
WingLOut 50
WingRIn 100
WingRMid 90
WingROut 50
Flap01 30
Flap02 30
Flap03 30
Flap04 30
[Engine]
Engine0Family Hispano-Suiza-MORANE:Hawker-Fury_NEW-FM
Engine0SubModel Hispano-Suiza-12Xbrs/Hawker-Fury
[Gear]
H 1.54
Pitch 16.8
SinkFactor 500.0
SpringsStiffness 0.35
TailStiffness 0.25
[Params]
CriticalAOA 21.80
CriticalCy 01.52
CxCurvature 00.70
CxStraightness 00.28
CriticalAOAFlap 21.80
CriticalCyFlap 01.52
SpinTailAlpha 17.00
SpinCxLoss 0.07
SpinCyLoss 0.03
Vyfac 1.0
Tfac 1.05
Vmin 120.0
Vmax 305.0
VmaxAllowed 590.0
VmaxH 359.0
HofVmax 5000.0
VminFLAPS 120.0
VmaxFLAPS 230.0
Vz_climb 15.0
V_climb 230.0
T_turn 18.0
V_turn 300.0
K_max 16.1
Cy0_max 0.15
FlapsMult 1.0
FlapsAngSh 4.0
ReferenceWeight 14.0
G_class_coeff 20.0
G_class 10.0
Range 435.0
CruiseSpeed 232.0
SensYaw 0.4
SensPitch 0.60
SensRoll 0.3
[Polares]
lineCyCoeff 0.093333333
AOAMinCx_Shift 0.52
Cy0_0 0.13
AOACritH_0 21.0
AOACritL_0 -17.0
CyCritH_0 1.50
CyCritL_0 -0.85
CxMin_0 0.0305
parabCxCoeff_0 4.0E-4
Cy0_1 0.13
AOACritH_1 21.0
AOACritL_1 -17.0
CyCritH_1 1.50
CyCritL_1 -0.85
CxMin_1 0.0305
parabCxCoeff_1 4.0E-4
parabAngle 5.0
Decline 0.008
maxDistAng 38.0
draw_graphs 0
[SOUND]
Engine Std
(Завтра продолжу собирать мод.

)
---------------------------------------------
Фикс к Hawker-Fury MKII ниже в архиве.
Изменения:
поляра за профилем НАСА 2212 минус 5 проц. на покоцанность.,
мотор по книге
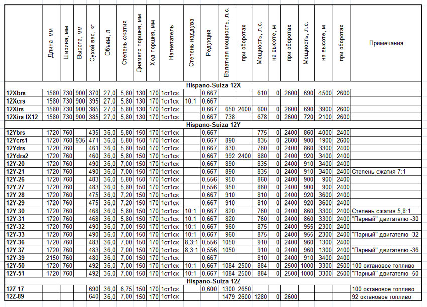
13-livres_espace_patrimoine_moteurs_aviation_hispano_ suiza
и таблице (ниже картинка).,
своё собственное вооружение, включая крупнокалиберный Виккерс
под патрон "Vickers .5V/580".
-----------------------------------
Этот прияный английский библанчик очень маневренный и спокойный
в простом полёте на оборотах 2000-2300.
На взлёте есть особенности - раскачка в вертикальной плоскости -
возможно так чудит мой старенький джой.
Крейсерская скорость от 230 км. в час, что сопоставимо с другими бипланами 30-х годов.
Максимальная скорость у земли - 305 км. в час.
Максимальная на высоте 4800-4900 метров - 357 км. в час.
Максимальная отдача ранней 27-литровой Хиспаны у земли всего 650 л.с.
С Хиспаной побольше Фьюри можно было б разогнеть до 400 км. в час.
Но - увы - как есть.
------------------------
Приятных полётов!
-----------------------
Фикс можно "висыпать"

в оригинал мода:
https://www.sas1946.com/main/index.p...c,67413.0.html