AviaSkins.Forums

Вернуться   AviaSkins.Forums > Основные разделы > Моды для Ил-2 > Первым делом, первым делом - самолеты

Важная информация

Ответ
 
Опции темы Поиск в этой теме Опции просмотра
Старый 25.04.2013, 22:32   #41
Vasya
Звичайна людина на Землі
 
Аватар для Vasya
 
Регистрация: 06.11.2011
Адрес: Україна, м.Київ, Печерський район, вул. Кіквідзе
Сообщений: 8,364
Радость

ТУТ: - http://www.filesmeethere.com/fw190_26.html - можно поскачивать интересные файлы. Можно попробовать скачать тут: - http://ishare.iask.sina.com.cn/downl...ileid=10445416 - . Также нашёл страницу на САСе: - http://www.sas1946.com/main/index.ph...c,25458.0.html - закачка: - http://www.mediafire.com/?eczofatafqwnj1q - . К Доре можно поставить фм с турбовинтовым мотором., файл внизу.
Миниатюры
Нажмите на изображение для увеличения
Название: 26.04.2013 22-21-56.jpg
Просмотров: 1542
Размер:	113.8 Кб
ID:	24765   Нажмите на изображение для увеличения
Название: 26.04.2013 22-22-42.jpg
Просмотров: 1448
Размер:	170.6 Кб
ID:	24766   Нажмите на изображение для увеличения
Название: ПАПКА ДЛЯ А-6.jpg
Просмотров: 1168
Размер:	259.2 Кб
ID:	54056   Нажмите на изображение для увеличения
Название: Впрыск С-3.jpg
Просмотров: 1166
Размер:	349.2 Кб
ID:	54340  
Вложения
Тип файла: rar _0_Naval Fw190_V1.1 - czk.rar (9.4 Кб, 1125 просмотров)

Последний раз редактировалось Vasya; 04.07.2018 в 16:19.
Vasya вне форума   Ответить с цитированием
Старый 26.04.2013, 20:15   #42
Stilet
Местный
 
Аватар для Stilet
 
Регистрация: 17.05.2011
Адрес: Краснодар
Сообщений: 1,364
По умолчанию

Уважаемый Vasya. Вы, как я понял уже несколько набили руку в работе с ФМ. Всвязи с этим просьба. Не можете ли Вы поглядеть ФМ бомбардировщиков(особенно ТБ-7 и Ил-4) на предмет их "утяжеления". А то, сейчас они какие то слишком летучие. На ТБ вообще ощущение, что на дирижабле летишь - вверх лезет неудержимо, ветром его даже на земле мотает, как надувной. На рули он тоже слишком резко реагирует. Да и бочки с петлями крутит не хуже истребителей.
P.S. Из имеющихся в игре "бобров" ощущается тяжесть машины разве что на "Савойе".
__________________
Я не волшебник, я только лечусь...
Stilet вне форума   Ответить с цитированием
Старый 26.04.2013, 23:39   #43
Vasya
Звичайна людина на Землі
 
Аватар для Vasya
 
Регистрация: 06.11.2011
Адрес: Україна, м.Київ, Печерський район, вул. Кіквідзе
Сообщений: 8,364
По умолчанию

Цитата:
Сообщение от Stilet Посмотреть сообщение
Уважаемый Vasya. Вы, как я понял уже несколько набили руку в работе с ФМ. Всвязи с этим просьба. Не можете ли Вы поглядеть ФМ бомбардировщиков(особенно ТБ-7 и Ил-4) на предмет их "утяжеления". А то, сейчас они какие то слишком летучие. На ТБ вообще ощущение, что на дирижабле летишь - вверх лезет неудержимо, ветром его даже на земле мотает, как надувной. На рули он тоже слишком резко реагирует. Да и бочки с петлями крутит не хуже истребителей.
P.S. Из имеющихся в игре "бобров" ощущается тяжесть машины разве что на "Савойе".
Для ТБ-3М ВОТ: Empty 1002.0 TakeOff 3600.0 Oil 40.0 Fuel 720.0 . Пе-8: Empty 18571.0 TakeOff 34500.0 Oil 50.0 Fuel 9703.0 ., Посмотрю с понедельника, занят буду щас, праздники. Дайте, уважаемый ссылки на статьи про эти сов. бомбёры, а то я про них мало читал, как то бомбёрами мало интересовался., я почитаю, поправлю в соответствии с данными из книг, но моё подозрение что проблема в поляре, а её сильно трогать чревато...
Vasya вне форума   Ответить с цитированием
Старый 27.04.2013, 01:46   #44
Stilet
Местный
 
Аватар для Stilet
 
Регистрация: 17.05.2011
Адрес: Краснодар
Сообщений: 1,364
По умолчанию

Про Ил-4 целый сайт есть: http://il4.ru/ А ещё в мемуарах Касаткина есть несколько интересных моментов об этом самолёте. Например вот:
Цитата:
... у «Ил-4», была одна посадочная особенность. Самолет, даже если тебе удавалось сразу приземлиться на три точки, при посадке неизбежно вело вправо. Это происходило из-за реакции винтомоторной группы: винты-то вертятся в одну сторону, а отдача в другую, и получается момент силы, который выталкивает самолет с полосы. Поэтому при приземлении надо было компенсировать разворот. Сразу приходилось давать левую ногу и придерживать педаль, чтобы выдержать прямую. Иной раз мы на посадке даже выворачивали гош, то есть так отклоняли элероны, чтобы левый элерон был повернут вниз и, таким образом, благодаря сопротивлению воздуха тормозил самолет от поворота вправо. А уж если ты прозеваешь, то самолет поворачивает быстрей и быстрей, в результате можно или шасси подломить, или покрышки снести, или, в лучшем случае, выкатиться на запасную полосу...
В "Иле" этого нет, наоборот влево тянет.
Цитата:
...«Ил-4» ведь далеко не пилотажный самолет, тяжелый. Он виражил, скольжение делал, но петли и бочки не мог крутить. Градусов под шестьдесят на нем можно было пикировать, но в крутое пике мы наши машины не загоняли... ...быстрота «Ил-4» казалась нам достаточной. Мы на скорости 250 километров в час на цель шли с бомбами, на 280 домой. А если что, я реально и 320 километров в час выжимал...
Насчёт Тб-7/Пе-8 нашёл вот такую таблицу: http://heavybomber.narod.ru/TB7_TTH1.htm
P.S.
Цитата:
но моё подозрение что проблема в поляре,
Э-э-э, в чём-чём? Что за зверь такой - "поляр"?
__________________
Я не волшебник, я только лечусь...

Последний раз редактировалось Stilet; 27.04.2013 в 01:50.
Stilet вне форума   Ответить с цитированием
Старый 27.04.2013, 12:11   #45
Samurai Dghek
Местный
 
Регистрация: 19.09.2012
Адрес: Залеская Русь
Сообщений: 208
По умолчанию

Поляр это малопонятная белиберда которая идет после графы [Params]. За что отвечает пока мало понятно. Хотите посмотрите сами фм этого Ил-4
Вложения
Тип файла: rar Il-4.rar (1.3 Кб, 1073 просмотров)
Samurai Dghek вне форума   Ответить с цитированием
Старый 27.04.2013, 13:48   #46
Stilet
Местный
 
Аватар для Stilet
 
Регистрация: 17.05.2011
Адрес: Краснодар
Сообщений: 1,364
По умолчанию

Цитата:
Сообщение от Samurai Dghek Посмотреть сообщение
Поляр это малопонятная белиберда которая идет после графы [Params]. За что отвечает пока мало понятно. Хотите посмотрите сами фм этого Ил-4
Ну, кое что из этой белиберды вроде понятно. Сдаётся мне, что "AOACritH(или L)" означает "Энгл оф Аттак критикал хай(или лоу)", или критический угол атаки(э-э, верхний или нижний?? ), а "lineCyCoeff" - какой то линейный коэффициент. Но вот с самими цифрами сложнее. Не силён я в аэродинамике, и понять что означают они пока не смог.
__________________
Я не волшебник, я только лечусь...
Stilet вне форума   Ответить с цитированием
Старый 27.04.2013, 14:20   #47
tarakan67
Местный
 
Регистрация: 15.09.2008
Сообщений: 2,225
По умолчанию

Цитата:
Сообщение от Stilet Посмотреть сообщение
Про Ил-4 целый сайт есть: http://il4.ru/ А ещё в мемуарах Касаткина есть несколько интересных моментов об этом самолёте. Например вот:

В "Иле" этого нет, наоборот влево тянет.

Насчёт Тб-7/Пе-8 нашёл вот такую таблицу: http://heavybomber.narod.ru/TB7_TTH1.htm
P.S. Э-э-э, в чём-чём? Что за зверь такой - "поляр"?
Не "поляр" а поляра - зависимость коэффициента подъёмной силы(Су) от угла атаки(α). При малых углах атаки эта зависимость линейная, при приближении к критическому углу атаки линейность нарушается, при дальнейшем увеличении угла атаки Су достигает своего максимума и резко снижается(это если в двух словах)

Последний раз редактировалось tarakan67; 27.04.2013 в 14:24.
tarakan67 вне форума   Ответить с цитированием
Старый 27.04.2013, 17:03   #48
Uzin
В пожизненном отпуске
 
Аватар для Uzin
 
Регистрация: 15.02.2009
Адрес: Прага
Сообщений: 2,293
По умолчанию

Можно и по другому :
Полярa = графическое представление зависимости между коэффициентом подъемной силы и коэффициентoм сопротивления при данном числе Рейнольдса.
Лишь 5 копеек.
Uzin вне форума   Ответить с цитированием
Старый 27.04.2013, 17:41   #49
tarakan67
Местный
 
Регистрация: 15.09.2008
Сообщений: 2,225
По умолчанию

Цитата:
Сообщение от Uzin Посмотреть сообщение
Можно и по другому :
Полярa = графическое представление зависимости между коэффициентом подъемной силы и коэффициентoм сопротивления при данном числе Рейнольдса.
Лишь 5 копеек.
Каюсь, немного накосячил с определением поляры, на память понадеялся.
Итак, определение поляры крыла из учебника аэродинамики:
Полярой крыла называется зависимость между коэффициентом подъёмной силы Су и коэффициентом лобового сопротивления Сх при переменном угле атаки α.
А та зависимость, про которую я говорил в предыдущем посте лишь используется для построения поляры.
Поляра крыла является наиболее важной аэродинамической характеристикой. По ней определяются характерные аэродинамические параметры, как то: угол атаки нулевой подъёмной силы, угол атаки, при котором минимален коэффициент лобового сопротивления Сх, критический угол атаки, наивыгоднейший угол атаки, максимальное качество крыла и т.д.
tarakan67 вне форума   Ответить с цитированием
Старый 04.05.2013, 00:44   #50
Grog
Местный
 
Аватар для Grog
 
Регистрация: 09.05.2009
Адрес: Хабаровск
Сообщений: 1,959
По умолчанию

Хм... И ... Тема эта называется вроде как самая правильная, хоть и правильная в кавычках, фм??
Мдя.. Куда катится мир
__________________
...каждый болен ИЛ-2 по разному,
но похоже что навсегда!
Grog вне форума   Ответить с цитированием
Старый 04.05.2013, 00:50   #51
Kant
Местный
 
Аватар для Kant
 
Регистрация: 18.06.2010
Адрес: Буйнакск
Сообщений: 483
По умолчанию

Это попахивает читерством не нравиться мне это ((
Kant вне форума   Ответить с цитированием
Старый 04.05.2013, 08:02   #52
MAXHO
Воздухоплаватель
 
Аватар для MAXHO
 
Регистрация: 15.06.2008
Адрес: Тюмень
Сообщений: 666
Отправить сообщение для MAXHO с помощью ICQ Отправить сообщение для MAXHO с помощью Skype™
По умолчанию

Цитата:
Сообщение от Samurai Dghek Посмотреть сообщение
Вот мой баттонс <censored>.Изменения на ТБ-3-4М-34R поставлены движки от Доры D-9 попытка выжать из монстра 300 км/ч получилось где то 260 км/ч. На И-16 тип 29 поставлен движок от Фоки 500 км/ч теперь делает легко правда трясет немного от мощного движка. На FW-190F-1 поставлен движек от И-153 попытка сделать мишень для тренировок но даже с таким убогим движком Фока разгоняется до 480 км/ч.
На FW-190F-2 поставлен движек от Скайрейдера его валит на крыло от мощного центробежного момента, но мощей прибавилось. На P-39Q-1 поставлен мотор М-103 от ЛаГГ-3 1 серии, к удивлению Кобра особо много не потеряла. То же самое на P-51A только мотор М-105. На Me-262HG-II установлены заместо Юмо-004 пара HeS-11 сними он теперь уверенно ведет бой с МиГами и Сейбрами, тот же движек поставлен на Саламандру He-162C с теми же результатами. На Me-262B-1a поставлены движки HeS-11A от Саламандр. Швальбе стал более резвым. На Ar-234C пара из 4 BMW-003 заменены на Юмо-004 мощей прибавилось. На Ta-183L поставил движок от Сейбра, Хакебин даже стал превосходить МиГ-15. На Би-1 ЖРД заменен на Юмо-004 характеристики почти не снизились, теперь только летать можно долго. ЛаГГ-3РД получил новое сердце в виде HeS-11 теперь он может уверенно вести бой даже с МиГ-15. IAR-80 получил движек от Пуловчака. На F-86K поставил движек от МиГ-21, попытка создать сверхзвуковой вроде удалась, крафт развивает до 1500 км/ч. На Пе-2 серии 359 поставил движки от Мессера DB-605, и последий SabreMk31 поставил ЖРД Вальтера от Ме-163. Правда топлива там побольше. Можно уверенно провести 20 мин бой и вернутся на базу. Скорость до 900км/ч на высоте. Еще сунул мотор от фоки на И-16 Сафронова и от доры на МиГ-3 Покрышкина очень злобными стали противниками. Вот вроде бы и все изменения.
Чуть не забыл Ил-2И получил движек от Тайфуна теперь он может уже уверенно называтся истребителем.

!!!Achtung Betrüger!!!



!!!Achtung Betrüger!!!
__________________



Последний раз редактировалось deSAD; 04.05.2013 в 12:00. Причина: Удалил ссылку на "батон".
MAXHO вне форума   Ответить с цитированием
Старый 04.05.2013, 09:42   #53
Karabas-Barabas
Местный
 
Регистрация: 08.02.2009
Сообщений: 2,078
Отправить сообщение для Karabas-Barabas с помощью ICQ
По умолчанию

Цитата:
Сообщение от Kant Посмотреть сообщение
Это попахивает читерством не нравиться мне это ((
Это конечно не читерство, но.
Такое можно тихо для себя или по просьбе кого-то, для тестов каких-то.
В общий доступ выкладывать не следует.
Karabas-Barabas вне форума   Ответить с цитированием
Старый 04.05.2013, 11:27   #54
Samurai Dghek
Местный
 
Регистрация: 19.09.2012
Адрес: Залеская Русь
Сообщений: 208
По умолчанию

Пост удаляю. Я думал что читерство только в онлайне бывает. Ну не удалось людей порадовать приношу извинения.
Samurai Dghek вне форума   Ответить с цитированием
Старый 04.05.2013, 11:58   #55
deSAD
Модератор
 
Аватар для deSAD
 
Регистрация: 06.03.2007
Адрес: Киев, Украина
Сообщений: 11,391
Отправить сообщение для deSAD с помощью ICQ Отправить сообщение для deSAD с помощью Skype™
По умолчанию

Цитата:
Сообщение от Samurai Dghek Посмотреть сообщение
... Я думал что читерство только в онлайне бывает. Ну не удалось людей порадовать приношу извинения.
Он-лайн - он-лайном, но не стОит, право слово, превращать игру (со своими правилами/ограничениями) в подобие цирка/балагана ... Поэтому, прежде всего, спасибо, что приняли во внимание мнение "широкой общественности" и отказались от попытки ознакомить "широкие массы трудящихся" со столь ... э-э-э ... оригинальным взглядом на игру Но хотелось бы надеяться, что впредь вы будете относиться к старичку ИЛу с несколько бОльшим пиететом ...
__________________
deSAD вне форума   Ответить с цитированием
Старый 04.05.2013, 14:52   #56
Kant
Местный
 
Аватар для Kant
 
Регистрация: 18.06.2010
Адрес: Буйнакск
Сообщений: 483
По умолчанию

Я не хотел ни кого обидеть просто такое в народ кидать не хорошо (
Kant вне форума   Ответить с цитированием
Старый 05.05.2013, 17:49   #57
Vasya
Звичайна людина на Землі
 
Аватар для Vasya
 
Регистрация: 06.11.2011
Адрес: Україна, м.Київ, Печерський район, вул. Кіквідзе
Сообщений: 8,364
Радость

ХРИСТОС ВОСКРЕСЕ!!!
Миниатюры
Нажмите на изображение для увеличения
Название: ВОСКРЕСЕНІЕ ХРИСТОВО.jpg
Просмотров: 1261
Размер:	448.2 Кб
ID:	24875   Нажмите на изображение для увеличения
Название: ВОСКРЕСЕНИЕ ХРИСТОВО.jpg
Просмотров: 1275
Размер:	1.77 Мб
ID:	24876  

Последний раз редактировалось Vasya; 05.05.2013 в 17:52.
Vasya вне форума   Ответить с цитированием
Старый 08.05.2013, 07:04   #58
Vasya
Звичайна людина на Землі
 
Аватар для Vasya
 
Регистрация: 06.11.2011
Адрес: Україна, м.Київ, Печерський район, вул. Кіквідзе
Сообщений: 8,364
Радость

Всем добрый день! Был на той неделе занят подготовкой к Пасхе, к тому же лежало несколько неоконченных проэктов., на всё нужно время и много терпения, что бы не сделать абыяк., немного довёл Фокке-Вулфы для себя до некоторой прыемлемой кондиции - у разных моделей, так сказать от разных производителей модов, разняться фм, а, также, отличаются емд моторов, но ведь по сути мотор у А-серии был один, который и совершенствовали 4 года, поднимали мощность разными способами., а командогерат не заменялся другим, компрессор тоже до модели ТС, а в разных емд очень даже разнятся показатели., я очень много читал по сайтам разных мнений - умные и просто озабоченные люди обсуждали Фокеры с разных сторон., но серьёзной информации мало, она в книгах, в основном на немецком, и эти книги заказывают за маны в Германии., информация от англичан и американцев не всегда отражает действительность - куча разночтений., я пытался собрать разные модели мотора БМВ-801С-ТУ в один емд, немного подправил компрессор(испытывал - работает), но это так сказать от фантазии - про работу копрессора(собственно границы высотности - правильные, также соответствие наддува и оборотов) нормальной информации не нашёл, если у кого есть такая, очень прошу поделиться(зарание премного благодарен)., также в моём емд вложены несколько фантазий для опробования на А-2, А-1, к сожалению у меня нет, если у кого есть отдельно А-1, ПОЖАЛУЙСТА выложите ссылку где таковой можно взять. На рассмотрение вывешу свои предположения и фантазии в этом посте, ниже, если будут желающие, также выложу баттонзы к правленным фм для испытаний. Также, внизу прыкрепил файлы того чего пособирал по сайтам, сайтов множество, всего не накопируешь. По прозьбам желающих в ближайшее время займусь "летающими корзинками" , но для переделки управления нужно время, если смогу, за неделю выложу результат. Всем спасибо за внимание.
Миниатюры
Нажмите на изображение для увеличения
Название: fokke-vulf-fw-190-istrebitel-lyuftvaffe-03.jpg
Просмотров: 1361
Размер:	30.4 Кб
ID:	24919   Нажмите на изображение для увеличения
Название: ФВ-190А-9С.jpg
Просмотров: 1363
Размер:	29.5 Кб
ID:	24920   Нажмите на изображение для увеличения
Название: 04_RT_Swansong.jpg
Просмотров: 1547
Размер:	823.7 Кб
ID:	24921   Нажмите на изображение для увеличения
Название: 08.05.2013 11-58-47.jpg
Просмотров: 1546
Размер:	79.8 Кб
ID:	24940   Нажмите на изображение для увеличения
Название: 10.05.2013 18-22-32.jpg
Просмотров: 1353
Размер:	88.5 Кб
ID:	24970  

Вложения
Тип файла: rar Документ Microsoft Office Word.rar (1.10 Мб, 1129 просмотров)
Тип файла: rar Документ Microsoft Office Word (2).rar (1.01 Мб, 1257 просмотров)
Тип файла: rar Документ Microsoft Office Word (3).rar (791.2 Кб, 1513 просмотров)
Тип файла: rar FlightModels_ДЛЯ ЯПОНСКИХ РЕАКТИВОВ.rar (23.4 Кб, 1087 просмотров)
Тип файла: rar ФМ ДЛЯ АВИАСКИНСА.rar (65.1 Кб, 1126 просмотров)

Последний раз редактировалось Vasya; 10.05.2013 в 20:22.
Vasya вне форума   Ответить с цитированием
Старый 09.05.2013, 17:10   #59
Vasya
Звичайна людина на Землі
 
Аватар для Vasya
 
Регистрация: 06.11.2011
Адрес: Україна, м.Київ, Печерський район, вул. Кіквідзе
Сообщений: 8,364
Радость

Почесал вот макитру и надумал расширить возможности зарубленного уже ненужностью в 44 году Мессера 209-го при приличной Швальбе., брал тут: - http://www.sas1946.com/main/index.ph...c,34595.0.html - , ниже пригоршня фм к нему. Почитать: - http://base13.glasnet.ru/wol/me/209.htm#1 - /// (Внутри также для нью Зеро) /// Фантазии на тему Девуантина-520 и МВ-152(для испытаний): внизу файлики, будь-ласка:
Миниатюры
Нажмите на изображение для увеличения
Название: 09.05.2013 16-16-48.jpg
Просмотров: 1410
Размер:	133.8 Кб
ID:	24948   Нажмите на изображение для увеличения
Название: 09.05.2013 16-18-17.jpg
Просмотров: 1389
Размер:	143.7 Кб
ID:	24949   Нажмите на изображение для увеличения
Название: 09.05.2013 16-18-37.jpg
Просмотров: 1396
Размер:	216.4 Кб
ID:	24950   Нажмите на изображение для увеличения
Название: 09.05.2013 15-49-20.jpg
Просмотров: 1591
Размер:	106.0 Кб
ID:	24951   Нажмите на изображение для увеличения
Название: 09.05.2013 21-39-02.jpg
Просмотров: 1483
Размер:	220.0 Кб
ID:	24958  

Вложения
Тип файла: rar ДЕВУАНТИН-520.rar (140.4 Кб, 1104 просмотров)
Тип файла: rar ИСПРАВЛЕННЫЙ--ME-209.rar (323.4 Кб, 1070 просмотров)
Тип файла: rar МБ-152 ДЛЯ АВИАСКИНСА.rar (65.0 Кб, 1113 просмотров)
Тип файла: rar ДЛЯ НЬЮ ЗЕРО ФМ.rar (6.3 Кб, 1037 просмотров)

Последний раз редактировалось Vasya; 11.05.2013 в 09:32.
Vasya вне форума   Ответить с цитированием
Старый 10.05.2013, 09:49   #60
Vasya
Звичайна людина на Землі
 
Аватар для Vasya
 
Регистрация: 06.11.2011
Адрес: Україна, м.Київ, Печерський район, вул. Кіквідзе
Сообщений: 8,364
Радость

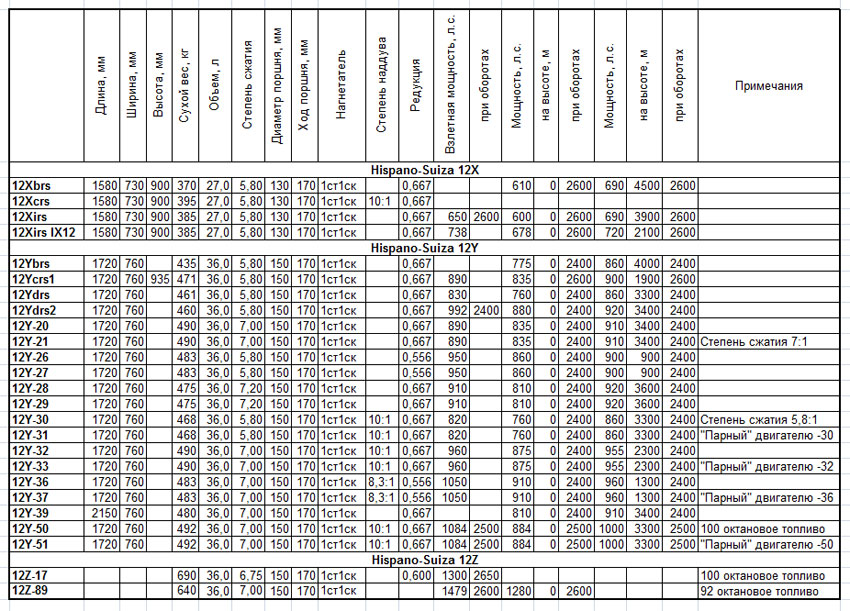
Кто сможет из грамотных чуть переписать ссылочный файл к Д-521 (- http://www.sas1946.com/main/index.ph...dseen.html#new -) с указанием на собственную фм, а то использовать фм от Емиля в корне неправильно., можно б было попробовать сделать свою фм на основе Д-520 или того же советского Мига, планер чей использует этот модный самолётик., к 43 году у фронцузов были моторы Hispano-Suiza_12Y(- https://en.wikipedia.org/wiki/Hispano-Suiza_12Z - http://lj.rossia.org/users/p_d_m/3209.html -) до 1500 сил. Может быть я бы тоже освоил написание ссылочных файлов, хоть отчасти, но у маня нет открывачки этих файлов что бы хотя бы посмотреть как они устроены., к сожалению. Извините если не так высказался в русле неразглашения тайн ила. Если кто хочет помочь с этим вопросом напишите мне в личную почту на сайте, буду очень благодарен, хочу быть полезен, а не только пользователем. /// Для теста по прозьбе Стилета(не знаю как имя, извините) поправленный ИЛ-4: - http://rghost.ru/45913862 - ИЛ-4 тяжеленный самолёт, пустой еле набирает высоту, Хенкель-111 в сравнении - птичка., моторы еле тянут ИЛ-4(два по 1100 сил - капля в море)., пытался посадить по науке с шагом 45, не дотянул до полосы, свалился в право и сломал крыло(первый раз сажал этот ил)., элероны ооочень слабые - самолёт-бревно., у меня стоит мод - IL-4_411_for410_v1.02 ., трогал только управление и прописал моторы М-88 С левым вращением, остальное всё родное(из САСовской фм).///
Миниатюры
Нажмите на изображение для увеличения
Название: ТАБЛИЦА ИСПАНО-СЬЮЗИИ.jpg
Просмотров: 1295
Размер:	239.6 Кб
ID:	24990   Нажмите на изображение для увеличения
Название: ПИЛОНЫ ЕСТЬ.jpg
Просмотров: 1093
Размер:	284.1 Кб
ID:	49007   Нажмите на изображение для увеличения
Название: 05.08.2017 2-54-03.jpg
Просмотров: 1169
Размер:	188.5 Кб
ID:	49008   Нажмите на изображение для увеличения
Название: 05.08.2017 2-54-22.jpg
Просмотров: 1070
Размер:	195.1 Кб
ID:	49009   Нажмите на изображение для увеличения
Название: 05.08.2017 2-54-26.jpg
Просмотров: 1106
Размер:	195.1 Кб
ID:	49010  

Вложения
Тип файла: rar ДЕВУАНТИАН-521МОД.rar (11.2 Кб, 1086 просмотров)
Тип файла: rar static.rar (52.0 Кб, 1018 просмотров)
Тип файла: rar ИСХОДНИКИ ЯКОВ+.rar (356.2 Кб, 940 просмотров)
Тип файла: rar FIX_FOR_RocketX9homing.rar (10.2 Кб, 893 просмотров)
Тип файла: rar ПРИСКОРЮВАЧ ЗАГРУЗКИ.rar (361.0 Кб, 947 просмотров)

Последний раз редактировалось Vasya; 05.12.2017 в 23:25.
Vasya вне форума   Ответить с цитированием
Ответ


Здесь присутствуют: 1 (пользователей: 0 , гостей: 1)
 

Ваши права в разделе
Вы не можете создавать новые темы
Вы не можете отвечать в темах
Вы не можете прикреплять вложения
Вы не можете редактировать свои сообщения

BB коды Вкл.
Смайлы Вкл.
[IMG] код Вкл.
HTML код Выкл.

Быстрый переход


Текущее время: 00:54. Часовой пояс GMT +3.


Powered by vBulletin® Version 3.8.4
Copyright ©2000 - 2025, Jelsoft Enterprises Ltd. Перевод: zCarot
Рейтинг@Mail.ru