AviaSkins.Forums

Вернуться   AviaSkins.Forums > Основные разделы > Моды для Ил-2 > Первым делом, первым делом - самолеты

Важная информация

Ответ
 
Опции темы Поиск в этой теме Опции просмотра
Старый 24.09.2019, 18:12   #1941
andrey65
Модератор
 
Аватар для andrey65
 
Регистрация: 05.11.2007
Адрес: Кемеровская область
Сообщений: 7,802
По умолчанию

а за чтоона отвечает? У меня аллисон и так на высоте не тянет
andrey65 вне форума   Ответить с цитированием
Старый 24.09.2019, 18:46   #1942
Vasya
Звичайна людина на Землі
 
Аватар для Vasya
 
Регистрация: 06.11.2011
Адрес: Україна, м.Київ, Печерський район, вул. Кіквідзе
Сообщений: 8,531
Сообщение

Цитата:
Сообщение от andrey65 Посмотреть сообщение
а за чтоона отвечает? У меня аллисон и так на высоте не тянет
Уже исправил.
http://forum.aviaskins.com/showpost....postcount=1926
Из-за лишней строки игра не видела вторую скорость нагнетателя.
Хотя у нас вторая ступень и вторая скорость нагнетателя не различаются.
В патче 4.13.4 скорость на высоте:
мотор М-107А - 673 км. в час - радиатор 6.,
мотор Аллисон 1710-85 - 664 - радиатор 6.
С советским мотором большая скорость достигается на чуть большей высоте. Аллисон выше 4500 уже теряет тягу.
Высотность и мощность моторов можно посмотреть
в файликах емд в папочке FlightModels.
Миниатюры
Нажмите на изображение для увеличения
Название: 2019.09.24 15-23-06.jpg
Просмотров: 490
Размер:	926.0 Кб
ID:	62213   Нажмите на изображение для увеличения
Название: 2019.09.24 15-23-18.jpg
Просмотров: 493
Размер:	1.05 Мб
ID:	62214   Нажмите на изображение для увеличения
Название: 2019.09.24 15-29-19.jpg
Просмотров: 492
Размер:	1.06 Мб
ID:	62215   Нажмите на изображение для увеличения
Название: 2019.09.24 15-29-48.jpg
Просмотров: 487
Размер:	1.04 Мб
ID:	62216  

Последний раз редактировалось Vasya; 24.09.2019 в 18:47. Причина: дописка текста
Vasya вне форума   Ответить с цитированием
Старый 24.09.2019, 18:49   #1943
andrey65
Модератор
 
Аватар для andrey65
 
Регистрация: 05.11.2007
Адрес: Кемеровская область
Сообщений: 7,802
По умолчанию

У аллисона было две скорости? На кобре вроде нет ручного регулирования?
andrey65 вне форума   Ответить с цитированием
Старый 24.09.2019, 19:05   #1944
Vasya
Звичайна людина на Землі
 
Аватар для Vasya
 
Регистрация: 06.11.2011
Адрес: Україна, м.Київ, Печерський район, вул. Кіквідзе
Сообщений: 8,531
Сообщение

Цитата:
Сообщение от andrey65 Посмотреть сообщение
У аллисона было две скорости? На кобре вроде нет ручного регулирования?
У меня тоже нет ручного регулирования.
Всё игра делает автоматом сама.
Просто Аллисон имел на графике разную мощность на разных высотах.
Скорее всего там была вторая скорость и включалась автоматически наподобие как у Мессера. Точно не помню.
В прошлом году писал Аллисоны для Кобр по графикам.
Вот что бы хоть как то смоделировать перепад мощности по высотам, то в моторе вписал по подобию двухступенчатых компрессоров.
Игра не понимает где две ступени, а где две скорости.
Например в дефолте для Мессеров одна ступень, но что бы хоть что то нарысовалось на высоте, то мощность внизу подняли до 1570 л.с.,
а сопротивление натягули словно там вместо рядного мотора широченная звезда. Получилось ая-яй.
Такие же траблы и с метанольными моторами, но ещё хуже.
График мощности с реальным не совпадает вообще никак.
В своих моторах пытаюсь хоть как то приблизить график мощности
в моторах к реальным прототипам.
Без переписки всех моторов будет пиу-пиу-оргазмус... хотя сервера в общем то пусты.

Последний раз редактировалось Vasya; 24.09.2019 в 19:07. Причина: исправление ошибок
Vasya вне форума   Ответить с цитированием
Старый 25.09.2019, 18:29   #1945
andrey65
Модератор
 
Аватар для andrey65
 
Регистрация: 05.11.2007
Адрес: Кемеровская область
Сообщений: 7,802
По умолчанию

Василий, в 11 серии что за нагрузки "kinderwud"?
andrey65 вне форума   Ответить с цитированием
Старый 26.09.2019, 02:44   #1946
Vasya
Звичайна людина на Землі
 
Аватар для Vasya
 
Регистрация: 06.11.2011
Адрес: Україна, м.Київ, Печерський район, вул. Кіквідзе
Сообщений: 8,531
Сообщение

Цитата:
Сообщение от andrey65 Посмотреть сообщение
Василий, в 11 серии что за нагрузки "kinderwud"?
Пушка Вя-23.
-----------------------------------
Обновил мод Лаггов.
http://forum.aviaskins.com/showpost....postcount=1926
Кажись ничего не забыл.
Лагг с огнём в попе буду делать позже вместе с Як-15.
---------------------------------------------
Ссылки мурзилок по Лаггам почитать:
https://weapons-russia.ru/article/lagg-3
https://ru.calameo.com/books/001352928c786a11efe7d
https://ru.calameo.com/read/001352928c786a11efe7d

Последний раз редактировалось Vasya; 26.09.2019 в 02:50.
Vasya вне форума   Ответить с цитированием
Старый 27.09.2019, 01:21   #1947
Vasya
Звичайна людина на Землі
 
Аватар для Vasya
 
Регистрация: 06.11.2011
Адрес: Україна, м.Київ, Печерський район, вул. Кіквідзе
Сообщений: 8,531
Сообщение

Пока искал в закромах мотор для Брюстера, нашёл документы
по Аллисону и Кобре.
Может кому пригодится.
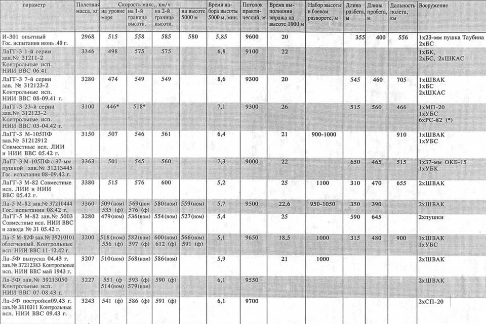
Ещё раз прикреплю скан табици испытаний Лагг-3 и первых Ла-5.
Прошу обратить внимание, что (пред)серийный Лагг-5 на номинале
развивал всего 474 км. в час у земли.
Думаю, что мотор был дефектный.
Если учесть сопротивление фанерной зашивки сопряжения мотогондолы
и фюзеляжа, то нормальный мотор М-82(в безфорсажном варианте)
в Иле разогнал Лагг-5 до 502(3) км. в час у земли.
Миниатюры
Нажмите на изображение для увеличения
Название: P-39_Aircraft_Performance_Characteristics--001.jpg
Просмотров: 452
Размер:	1.07 Мб
ID:	62254   Нажмите на изображение для увеличения
Название: P-39N_level-speeds--002.jpg
Просмотров: 450
Размер:	346.7 Кб
ID:	62255   Нажмите на изображение для увеличения
Название: P-39Q-5_42-19615-level-speed--003.jpg
Просмотров: 450
Размер:	694.9 Кб
ID:	62256   Нажмите на изображение для увеличения
Название: table V-1710 E specifications--004.jpg
Просмотров: 502
Размер:	158.1 Кб
ID:	62257   Нажмите на изображение для увеличения
Название: table V-1710--005.jpg
Просмотров: 447
Размер:	127.2 Кб
ID:	62258  

Нажмите на изображение для увеличения
Название: table V-1710 single stage--006.JPG
Просмотров: 514
Размер:	59.3 Кб
ID:	62259   Нажмите на изображение для увеличения
Название: table V-1710-85 P-39Q--007.JPG
Просмотров: 453
Размер:	86.4 Кб
ID:	62260   Нажмите на изображение для увеличения
Название: Ла-5Ф--Таблиця.jpg
Просмотров: 466
Размер:	120.0 Кб
ID:	62261  

Последний раз редактировалось Vasya; 27.09.2019 в 01:29.
Vasya вне форума   Ответить с цитированием
Старый 27.09.2019, 01:26   #1948
Vasya
Звичайна людина на Землі
 
Аватар для Vasya
 
Регистрация: 06.11.2011
Адрес: Україна, м.Київ, Печерський район, вул. Кіквідзе
Сообщений: 8,531
Лампочка

У меня БОЛЬШУЩАЯ прозьба (!!!) к пользователям моих модов:
нужно найти какой нибуть документ для финского Брюстера,
где бы точно указывалась модель двигателя Райт-Циклон именно
для финской модификации.
У меня есть документ спецификаций целого ряда моделей Райт-Циклонов.
Зная точную модель двигателя для Брюстера не составит труда
написать к нему родной мотор.
Vasya вне форума   Ответить с цитированием
Старый 27.09.2019, 01:47   #1949
Grejf11
Greif11
 
Аватар для Grejf11
 
Регистрация: 27.08.2008
Адрес: FUBAR city Mariupol
Сообщений: 1,700
По умолчанию

R-1820-G5 (950 л. с.).

__________________

Последний раз редактировалось Grejf11; 27.09.2019 в 02:15.
Grejf11 вне форума   Ответить с цитированием
Старый 27.09.2019, 03:44   #1950
Vasya
Звичайна людина на Землі
 
Аватар для Vasya
 
Регистрация: 06.11.2011
Адрес: Україна, м.Київ, Печерський район, вул. Кіквідзе
Сообщений: 8,531
Сообщение

Для Брюстера пока вот так:
Код:
[GR-1820G5]
  Type Radial
  Autonomous 1
  Cylinders 9
  Carburetor 1
  Direction Right
  TowFactor 1.0
  EngineAcceleration 3.5
  Extinguishers 3
  HorsePowers 850.0
  BoostFactor 1.00
  WEPBoostFactor 1.17647
  cAfterburner 0
  AfterburnerType 10
  Thrust 0
  PropMass 120.0
  RPMMin 400
  RPMNom 2100.0
  RPMMax 2100.0
  RPMMaxAllowed 2550.0
  Reductor 0.6875
  PropDiameter 3.12
  PropAnglerType 2
  PropAnglerSpeed 0.09
  PropAnglerMinParam 1443.75
  PropAnglerMaxParam 2100.0
  PropAnglerAfterburnerParam 2200.0
  PropPhiMin 18.0
  PropPhiMax 48.0
  PropAoA0 11.0
  Voptimal 0.0
  cCompressor 0
  CompressorType 1 
  CompressorSteps 2
  CompressorRPMCurvature 3.0  
  CompressorPAt0 0.5  
  CompressorPMax 1.30
  CompressorAltitude0 1770.0
  CompressorMultiplier0 1.0
  CompressorBaseMultiplier0 1.0
  CompressorAltitude1 4114.0
  CompressorMultiplier1 0.815
  CompressorBaseMultiplier0 0.958824
  CompressorRPMP0 600.0
  CompressorRPMPMax 2200.0
  CompressorMaxATARPM 1.18
  CompressorSpeedManifold 0.7
  CompressorRPM0 450
  CompressorATA0 0.45
  CompressorRPM1 1200
  CompressorATA1 0.74
  CompressorRPM2 1600
  CompressorATA2 0.94
  CompressorRPM3 1850
  CompressorATA3 1.08
  CompressorRPM4 2000
  CompressorATA4 1.12
  CompressorRPM5 2100
  CompressorATA5 1.18
  CompressorRPM6 2200
  CompressorATA6 1.30
  DisP0x 2100
  DisP0y 0
  DisP1x 0
  DisP1y 50
  TESPEED 0.01
  TWATERMAXRPM 205
  TOILINMAXRPM 70
  TOILOUTMAXRPM 85
  MAXRPMTIME 600
  MINRPMTIME 999
  TWATERMAX 235
  TWATERMIN 120
  TOILMAX 105
  TOILMIN 40
Миниатюры
Нажмите на изображение для увеличения
Название: GR-1820G5--высотность.jpg
Просмотров: 461
Размер:	141.1 Кб
ID:	62262   Нажмите на изображение для увеличения
Название: GR-1820G5--мощность.jpg
Просмотров: 482
Размер:	30.1 Кб
ID:	62263  

Последний раз редактировалось Vasya; 27.09.2019 в 03:52. Причина: прикрепление картинок
Vasya вне форума   Ответить с цитированием
Старый 27.09.2019, 08:56   #1951
andrey65
Модератор
 
Аватар для andrey65
 
Регистрация: 05.11.2007
Адрес: Кемеровская область
Сообщений: 7,802
По умолчанию

Попробуем? Кстати, там и его американский собрат есть, Ф2.
Василий, а по ЛаГГам все изменилось после установки последнего мода. И ЛаГГ-5 уж очень быстрый - 522 у земли и 610 на 7,5км. По данным - 509-580.
И вес вместо 3360 - 3201 с УБС и ШВАК.

Последний раз редактировалось andrey65; 27.09.2019 в 10:31.
andrey65 вне форума   Ответить с цитированием
Старый 27.09.2019, 13:48   #1952
Grejf11
Greif11
 
Аватар для Grejf11
 
Регистрация: 27.08.2008
Адрес: FUBAR city Mariupol
Сообщений: 1,700
По умолчанию

Василий, а варум? HorsePowers 850.0
При том что данные по финскому контракту указуют на мотор R-1820-G5 (950 л. с.).

Если имелся в виду мотор XR-1820-G1 (850 л. с.) то как указывают финские источники он не применялся изначально и на стадии комплектации машин заменен на R-1820-G5 (950 л. с.).
Wright R 1820-34 был запрещен к экспорту

Цитата:
Кстати, там и его американский собрат есть, Ф2.
Упоминание американского собрата F2А несколько некорректно там другой мотор
R-1820-40 1100 л. с.
__________________

Последний раз редактировалось Grejf11; 27.09.2019 в 14:55.
Grejf11 вне форума   Ответить с цитированием
Старый 27.09.2019, 13:53   #1953
andrey65
Модератор
 
Аватар для andrey65
 
Регистрация: 05.11.2007
Адрес: Кемеровская область
Сообщений: 7,802
По умолчанию

Цитата:
Сообщение от Grejf11 Посмотреть сообщение
Василий а варум? HorsePowers 850.0
При том что данные по финскому контракту указуют на мотор R-1820-G5 (950 л. с.).
Если имелся в виду мотор R-1820-41 850л.с. то как указывают финские источники он не применялся изначально и на стадии комплектации машин заменен на R-1820-G5 (950 л. с.).
Упоминание американского собрата несколько некоректно там другой мотор
R-1820-40 1100 л. с.
Я собрата упомянул до кучи, в том смысле, что и его посмотреть тогда стоит.
И, похоже, Василий эту ФМ ддля Б239 уже пихнул в ЛаГГовскую?
Что-то у меня с включеннными пакетами Васиных ФМ брюстер еле ползает, 439 выдает только, а после выключения даже на средних 461.
andrey65 вне форума   Ответить с цитированием
Старый 27.09.2019, 14:02   #1954
Grejf11
Greif11
 
Аватар для Grejf11
 
Регистрация: 27.08.2008
Адрес: FUBAR city Mariupol
Сообщений: 1,700
По умолчанию

У меня сохранился мод для Брюстеров славных времен "запасного" под версию 4.09
Маркирован как B-339D те самолет голландской поставки аналогичной финской.
ФМ и ЕМ от Дмитрия.

==============================================

B339B air.F2A_B339B_TS 1 usa01 SUMMER
B339D air.F2A_B339_TS 1 NOINFO gb01 SUMMER

===============================================

в техникс

[F2A_B339]
Description F2A_B339
Icon Plane
Class air.F2A_B339
PanzerType Car
PanzerSubtype 4
PanzerBodyFront 0.006
Explode WagonMetal

вепонс

################################################## ###################
# Buffalo Mk. I
################################################## ###################
BuffaloMkI.default Default
BuffaloMkI.2x100 2x100 lb. Bombs
BuffaloMkI.none Empty

сам мод для ознакомления (мод никогда не публиковался)
https://www.mediafire.com/file/wv4f6...ewster.7z/file

самолёты модификации F2A-2, отличавшиеся от F2A-1 более мощным двигателем Wright R-1820-40 Cyclone 1200 л. с.

Самолёт поставлялся также в Голландию под названием B-339D. Они отличались от предыдущей серии несколько упрощённым бортовым оборудованием, неубираемым хвостовым колесом с литым резиновым роликом

Дума. что вариант "Хуму" с трофейным М-63 рассматриваться не будет
Построен 1 экземпляр хотя и сохранен в музее

__________________

Последний раз редактировалось Grejf11; 27.09.2019 в 14:35.
Grejf11 вне форума   Ответить с цитированием
Старый 27.09.2019, 14:32   #1955
Vasya
Звичайна людина на Землі
 
Аватар для Vasya
 
Регистрация: 06.11.2011
Адрес: Україна, м.Київ, Печерський район, вул. Кіквідзе
Сообщений: 8,531
Сообщение

Цитата:
Сообщение от andrey65 Посмотреть сообщение
Я собрата упомянул до кучи, в том смысле, что и его посмотреть тогда стоит.
И, похоже, Василий эту ФМ ддля Б239 уже пихнул в ЛаГГовскую?
Что-то у меня с включеннными пакетами Васиных ФМ брюстер еле ползает, 439 выдает только, а после выключения даже на средних 461.
Нет, не включён.
Это какой то другой мод влияет.
Vasya вне форума   Ответить с цитированием
Старый 27.09.2019, 14:34   #1956
Vasya
Звичайна людина на Землі
 
Аватар для Vasya
 
Регистрация: 06.11.2011
Адрес: Україна, м.Київ, Печерський район, вул. Кіквідзе
Сообщений: 8,531
Хорошо

Цитата:
Сообщение от Grejf11 Посмотреть сообщение
У меня сохранился мод для Брюстеров славных времен "запасного" под версию 4.09
Маркирован как B-339D те самолет голландской поставки аналогичной финской.
ФМ и ЕМ от Дмитрия.
..................................
самолёты модификации F2A-2, отличавшиеся от F2A-1 более мощным двигателем Wright R-1820-40 Cyclone 1200 л. с.

Самолёт поставлялся также в Голландию под названием B-339D. Они отличались от предыдущей серии несколько упрощённым бортовым оборудованием, неубираемым хвостовым колесом с литым резиновым роликом
Спасибо большое (!!!), я сейчас посмотрю.
Vasya вне форума   Ответить с цитированием
Старый 27.09.2019, 14:38   #1957
Vasya
Звичайна людина на Землі
 
Аватар для Vasya
 
Регистрация: 06.11.2011
Адрес: Україна, м.Київ, Печерський район, вул. Кіквідзе
Сообщений: 8,531
Сообщение

Цитата:
Сообщение от Grejf11 Посмотреть сообщение
Василий, а варум? HorsePowers 850.0
При том что данные по финскому контракту указуют на мотор R-1820-G5 (950 л. с.).

Если имелся в виду мотор XR-1820-G1 (850 л. с.) то как указывают финские источники он не применялся изначально и на стадии комплектации машин заменен на R-1820-G5 (950 л. с.).
По документам Wright-Cyclone-GR-1820G5 развивал 1000 л.с. при 2200 об.
И 850 л.с. при 2100 об. - номинал то есть.
Почему то в разных мурзилках ходит цифра 950 л.с.
Почему - не знаю.
Возможно на Дугласе был ограничитель по наддуву или что то в этом роде..
Vasya вне форума   Ответить с цитированием
Старый 27.09.2019, 14:41   #1958
andrey65
Модератор
 
Аватар для andrey65
 
Регистрация: 05.11.2007
Адрес: Кемеровская область
Сообщений: 7,802
По умолчанию

Цитата:
Сообщение от Grejf11 Посмотреть сообщение
У меня сохранился мод для Брюстеров славных времен "запасного" под версию 4.09
Маркирован как B-339D те самолет голландской поставки аналогичной финской.
самолёты модификации F2A-2, отличавшиеся от F2A-1 более мощным двигателем Wright R-1820-40 Cyclone 1200 л. с.
Самолёт поставлялся также в Голландию под названием B-339D. Они отличались от предыдущей серии несколько упрощённым бортовым оборудованием, неубираемым хвостовым колесом с литым резиновым роликом
Прикольно! Монстры!
в БАТе 339В выдал 555 на 5000, при весе 3063, 339Д - 548 там же при 2924.
По ТТХ у них 542. Почти точно...
andrey65 вне форума   Ответить с цитированием
Старый 27.09.2019, 14:49   #1959
Vasya
Звичайна людина на Землі
 
Аватар для Vasya
 
Регистрация: 06.11.2011
Адрес: Україна, м.Київ, Печерський район, вул. Кіквідзе
Сообщений: 8,531
Смущение

Цитата:
Сообщение от andrey65 Посмотреть сообщение
Попробуем? Кстати, там и его американский собрат есть, Ф2.
Василий, а по ЛаГГам все изменилось после установки последнего мода. И ЛаГГ-5 уж очень быстрый - 522 у земли и 610 на 7,5км. По данным - 509-580.
И вес вместо 3360 - 3201 с УБС и ШВАК.
Я в последнем моде Лаггам-3 чуть подправил вес - снял 5 кило топлива до 340 кг.
Быстроту Лагг-5 даёт енжин-мод(япону его маму).
В Иле без енжин-мода скорость у земли Лагг-5 при открытом радиаторе
набралось только 503 км. в час.
Вес Лагг-5.
Цитата:
Empty 2626.0
TakeOff 3280.0
Oil 48.0
Fuel 345.0
Это Лагг-5 № 5003 завода № 31. от мая 42 года.
Только он выдал всего 479 км. у земли.
Полагаю двигатель не выдавал мощность.
Нижний вес высчитывал сам, может ошибся???

Последний раз редактировалось Vasya; 27.09.2019 в 15:19. Причина: исправление ошибок
Vasya вне форума   Ответить с цитированием
Старый 27.09.2019, 14:53   #1960
andrey65
Модератор
 
Аватар для andrey65
 
Регистрация: 05.11.2007
Адрес: Кемеровская область
Сообщений: 7,802
По умолчанию

Цитата:
Сообщение от Vasya Посмотреть сообщение
Я в последнем моде Лаггам-3 чуть подправил вес - снял 5 кило топлива до 340 кг.
Быстроту Лагг-5 даёт енжин-мод(япону его маму).
В Иле без енжин-мода скорость у земли Лагг-5 при открытом радиаторе
набралось только 503 км. в час.
Вес Лагг-5.

Это Лагг-5 № 5003 завода № 31. от мая 42 года.
Только он выдал всего 474 км. у земли.
Полагаю двигатель не выдавал мощность.
Нижний вес высчитывал сам, может ошибся???
Предыдущие фм лаггов и с енжин-модом были близки к реалистичным.
andrey65 вне форума   Ответить с цитированием
Ответ


Здесь присутствуют: 4 (пользователей: 0 , гостей: 4)
 

Ваши права в разделе
Вы не можете создавать новые темы
Вы не можете отвечать в темах
Вы не можете прикреплять вложения
Вы не можете редактировать свои сообщения

BB коды Вкл.
Смайлы Вкл.
[IMG] код Вкл.
HTML код Выкл.

Быстрый переход


Текущее время: 12:43. Часовой пояс GMT +3.


Powered by vBulletin® Version 3.8.4
Copyright ©2000 - 2026, Jelsoft Enterprises Ltd. Перевод: zCarot
Рейтинг@Mail.ru